1.1 Boa borda quente
Os materiais de vedação de borda de vidro isolante incluem tiras de alumínio, aço e materiais de aço inoxidável, materiais de silício orgânico, etc. Devido à diferente condutividade térmica de seus materiais, a condução de calor formada nas bordas do vidro isolante também varia muito. A Tabela 1 mostra a condutividade térmica de diferentes tipos de materiais usados para isolar o vidro.
Tabela 1 Condutividade térmica de diferentes materiais:
Ciência material | Condutividade térmica [W/(m * K)] |
Alumínio | 160 |
Aço | 50 |
Aço inoxidável | 17 |
Vidro | 1 |
Selante de silício | 0,35 |
Material TPS (tipo de borracha butílica) | 0,3 |
O sistema de vedação de borda composto por diferentes tipos de materiais produzirá diferentes efeitos de condutividade térmica. Os espaçadores termoplásticos (TPS) abandonam os bons metais de transferência de calor, como alumínio e aço inoxidável, usados em espaçadores de vidro isolante tradicionais. O coeficiente de condutividade térmica linear do vidro isolante feito com TPS é muito menor do que o dos produtos tradicionais, bloqueando a dissipação de calor na borda do vidro e melhorando o efeito de economia de energia de toda a janela.
A Figura 1 mostra uma comparação entre o vidro isolado de alumínio com fenda tradicional e o vidro isolado TPS com espaçador termoplástico sob imagem térmica. Pode ser visto a partir da imagem 1 que, devido ao uso de alumínio e outros materiais metálicos como materiais espaçadores em sistemas tradicionais de vedação de bordas, a condutividade térmica é alta, o que facilita a passagem de calor pelo vidro isolado da área de vedação da borda, resultando em temperaturas mais baixas nas bordas.
Imagem 1
Com a melhoria da qualidade de vida das pessoas, a demanda por ambiente de vida confortável também está aumentando. O efeito de borda quente trazido pelo sistema de vedação de barreira termoplástica (TPS) é propício para estabilizar a temperatura interna, reduzindo a convecção do ar e proporcionando um ambiente interno mais confortável. Devido à presença do sistema de borda quente, ele também reduz a condensação da névoa de água na borda do vidro da janela e reduz o custo de manutenção da moldura da janela (ver figura 2)
Imagem 2
1.2 Baixa permeabilidade ao vapor de água
O espaçador termoplástico (TPS) adota uma borracha butílica especial misturada com peneira molecular para moldagem por extrusão direta, e a consistência do material de vedação é boa. Ao mesmo tempo, devido à estreita ligação química entre espaçadores termoplásticos e adesivo de vidro e silicone, a estrutura de vidro oco é mais estável e a ligação é mais firme. A Tabela 2 mostra a permeabilidade ao vapor de água e gás de diferentes materiais de vedação. Pode ser visto que o material de borracha butílica tem melhor capacidade de barreira de vapor de água e gás do que borracha de silicone e borracha de polissulfeto, formando uma barreira melhor para evitar a entrada de vapor de água e vazamento de gás, que é propício para manter o desempenho de vedação de vidro isolante por um longo tempo e garantir o desempenho de economia de energia (Como mostrado na imagem abaixo 3 ).

Tabela 2 Vapor de água e transmissão de gás de diferentes materiais de vedação
Ciência material | Permeabilidade ao gás g/(m ² 24h) | Transmitância de vapor de água g/(m ² 24h) |
Adesivo de polissulfeto | 0, 03-0, 1 | 5-10 |
Adesivo de silicone | ≥ 20 | 15-20 |
Borracha butílica | 0,002-0,005 | ≤ 0,9 |
1.3 Processo de produção totalmente automático
A produção de vidro isolante do sistema TPS é concluída pelo sistema automático de uma só vez a partir de carregamento de vidro, remoção de filme de vidro, limpeza e secagem, revestimento de tira termoplástica, laminação pneumática e revestimento de cola externa, evitando erros e inconsistências causados pela operação manual e alcançando um alto grau de uniformidade da vedação de canto, Ele elimina completamente a prensagem de canto pobre e vedação de vidro isolante de alumínio de calha tradicional, e é adequado para a produção de vidro isolante de qualquer tipo, tamanho e forma (como mostrado na Figura 7).

Figura 7 Ligação de borda de vidro isolante do sistema de espaçador termoplástico (TPS)
2.1 Impacto do ambiente de serviço no vidro isolante
Como mostrado na Figura 8, o vidro isolante será afetado por vários fatores externos durante o uso

Figura 8 Fatores de impacto ambiental durante o uso de vidro isolante
Em particular, devido às frequentes mudanças de temperatura e pressão ambiente, o gás na cavidade do vidro isolante está sempre no estado de expansão térmica ou contração fria, como mostrado na Figura 9, o que torna o selante sob tensão a longo prazo. Para o sistema tradicional de vedação dupla, o efeito desta força levará à deformação e perda da função do selante, e a umidade no ambiente permeará constantemente da borda do vidro isolante para a cavidade do meio. Ao mesmo tempo, o efeito do raio ultravioleta, da água e de outros gases corrosivos no ambiente acelerará o envelhecimento do selante, acelerando assim a velocidade do vapor de água que entra na cavidade do meio e a fuga do argônio preenchido. Este tipo de infiltração de vapor de água ocorre a qualquer momento. O dessecante no sistema de vedação de borda acabará por perder sua capacidade de adsorção de vapor de água devido à adsorção contínua de moléculas de água, o que levará ao aumento do teor de vapor de água na cavidade do vidro isolante e falha de vedação, levando a um menor efeito de economia de energia. Como o sistema de vedação do espaçador termoplástico tem certa elasticidade, ele pode efetivamente liberar o estresse da borda quando o ambiente muda. Ao mesmo tempo, o espaçador termoplástico tem uma força coesiva mais alta para resistir às mudanças trazidas pela carga para garantir a estabilidade da estrutura de vedação.

Figura 9 Tradicional calha de vidro isolante de alumínio
E diagrama esquemático de mudanças no uso do sistema de tira espaçadora termoplástica (TPS)
Para o vidro isolante de três vidros e duas cavidades comumente usado no vidro passivo do novo conceito de construção de economia de energia (como mostrado na Figura 10), o vidro em ambos os lados do vidro isolante será submetido à ação de outro caVity e gerar maior estresse, o que levará à deformação da borracha butílica, reduzir o efeito do primeiro selo, aumentar o canal de vapor de água e fazer o vidro isolante falhar mais rapidamente, as vantagens de vedação dos espaçadores termoplásticos serão mais óbvias.

Figura 10 Três vidro e duas cavidades de vidro isolante
Mudança de selante
2.2 Fatores que afetam a vida útil do vidro isolante
De acordo com os requisitos do Código GB50096-2011 para o Projeto de Edifícios Residenciais, a vida útil dos edifícios não deve ser inferior a 50 anos. Como parte importante do edifício, a vida útil do vidro isolante usado por portas, janelas e paredes de cortina atraiu a atenção da indústria. É mencionado no Apêndice A "Causas de falha e vida útil do vidro isolante" do padrão de vidro isolante GB/T11944-2012 que a vida útil esperada do vidro isolante deve ser de pelo menos 15 anos. No entanto, atualmente, a vida útil geral de vedação do vidro isolante na China ainda é relativamente baixa, e o fabricante em geral não se atreve a prometer uma garantia de 10 anos. Portanto, ainda estamos longe dos requisitos padrão e dos requisitos de uso do edifício.
Como mencionado acima, a vida útil do vidro isolante está diretamente relacionada à qualidade dos materiais de borda (como espaçador, dessecante, selante) e ao processo de fabricação de vidro isolante. A vida útil do vidro isolante também é afetada pela condição de instalação e ambiente de serviço.
Em 3.1, introduzimos a influência do ambiente externo na vida útil do vidro isolante. Além de fatores externos, que outros fatores afetam a vida útil do vidro isolante? A qualidade da vedação da borda está diretamente relacionada à durabilidade da vedação do vidro isolante. O uso de selante com baixo vapor de água e permeabilidade ao gás é a chave. A partir da análise anterior, podemos ver que a tira espaçadora termoplástica (TPS) tem excelente capacidade de barreira de vapor e gás de água, e a durabilidade da selagem do vidro isolante será melhorada se for usada para a vedação da borda do vidro isolante.
Tomando o sistema de vidro isolante de três vidros e duas cavidades como exemplo, podemos ver na Figura 11 que oito interfaces de ligação foram formadas entre o selante de vidro isolante de alumínio da calha tradicional e o vidro, bem como o espaçador, enquanto apenas quatro interfaces de ligação serão formadas entre a tira espaçadora termoplástica (TPS) Selo e o vidro. A partir da análise do atual nível de produção de vidro isolante doméstico e nossa situação de teste de longo prazo, a má adesão do selante, o material do vidro e do espaçador é o caminho principal que conduz à passagem do vapor de água e do gás, isto é, Sob a condição de que a permeabilidade ao vapor de água e ao gás do material de vedação seja a mesma, o sistema de vedação do espaçador termoplástico reduz o canal de transmissão de vapor e gás de água devido à redução da superfície de ligação, para alcançar a durabilidade a longo prazo do vidro isolante.

Figura 11 Análise da interface de vedação e ligação de diferentes vidros isolantes
2.3 Status de qualidade atual do vidro isolante na China
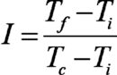
Índice de permeabilidade à água (I) usado no padrão nacional de vidro isolante) Indica a vida de vedação de vapor de água do vidro isolante. De acordo com a norma, o valor médio de I será superior a 0,2; O teor de argônio após o teste de durabilidade é usado para expressar a vida útil do selo de gás.

T i Teor inicial de umidade do dessecante
T f Conteúdo final de umidade do dessecadorT
T c teor de umidade padrão de dessecante
Qual é o índice de permeabilidade à água que eu valorizo? O valor I refere-se à relação entre a quantidade de vapor de água externo que entra no vidro isolante e sua absorção efetiva no teste de durabilidade. O índice de permeabilidade à água I pode refletir a capacidade de adsorção residual e a vida útil esperada do sistema de vedação de vidro isolante; Ser capaz de avaliar de forma abrangente o sistema de vidro isolante. Quanto menor o valor I, maior a capacidade de adsorção residual do vidro isolante e maior a vida útil da vedação.
O Centro Nacional de Supervisão e Inspeção da Qualidade do Vidro fez análises estatísticas sobre os resultados dos testes de durabilidade de mais de 300 vedações de vapor de água de vidro isolante na China nos últimos dois anos. A distribuição do valor I é mostrada na Figura 12. O valor mediano do valor I é próximo a 15% e cerca de 15% do valor I é superior a 20%.

Figura 12 Eu valorizo estatísticas de vidro isolante doméstico
No início deste século, a associação europeia de vidro isolante UNI fez uma análise estatística dos resultados dos testes da durabilidade da vedação de vapor de água de produtos de vidro isolante europeus (como mostrado na Figura 13). Da Figura 13, pode ser visto que o valor mediano está entre 4% e 5%. A partir dos dois resultados estatísticos, pode-se ver que ainda há uma grande lacuna entre a vida geral de vedação do vidro isolante doméstico e a do vidro isolante estrangeiro.

Figura 13 I Estatísticas de valor do vidro isolante europeu UNI
Nos últimos dois anos, a qualidade do vidro da sala passiva também atraiu muita atenção. A Tabela 3 mostra os resultados dos testes do Centro Nacional de Supervisão e Inspeção de Qualidade de Vidro sobre a durabilidade da vedação de vapor de água dos três vidros e dois vidros isolantes de cavidade nos últimos anos. Pode ser visto na Tabela 3 que a diferença de qualidade do vidro isolante produzido por diferentes empresas é relativamente grande, e o nível de qualidade geral ainda precisa ser melhorado. Se esse vidro for aplicado a edifícios passivos, está longe de atender aos requisitos da mesma vida útil que os edifícios. Para resolver este problema, devemos começar com materiais e processos, e também buscar estruturas de vedação mais avançadas.
NÃO | Configuração de vidro | Ti | Tf | Iav |
1 | 3 Vidro 2 cavidade | 0,027 | 0,0537 | 0,161 |
2 | Vácuo IGU | 0,0418 | 0,0494 | 0,05 |
3 | 3 Vidro 2 cavidade | 0,0286 | 0,0492 | 0,125 |
4 | Vácuo IGU | 0,035 | 0,0529 | 0,128 |
5 | 3 Vidro 2 cavidade | 0,021 | 0,0466 | 0,14 |
6 | 3 Vidro 2 cavidade | 0,018 | 0,0591 | 0,233 |
O primeiro sistema de vidro isolante de tira espaçadora termoplástica (TPS) nasceu em 1974 em Komelin. Sua produção industrial é desde a década de 1990. Atualmente, existem mais de 100 linhas de produção TPS em todo o mundo. Existem também várias linhas de produção de vidro isolante TPS espaçador termoplástico em operação na China. TA primeira linha de produção foi colocada em produção em 2011. O vidro isolante espaçador termoplástico e a nova geração do produto TPS 4SG com resistência estrutural foram preliminarmente reconhecidos e aplicados em paredes de cortina estruturais, edifícios comerciais, edifícios residenciais, ônibus, automóveis e outros campos.
Desde a sua criação, o sistema de tira espaçadora termoplástica (TPS) passou pela inspeção e certificação de padrões relevantes em muitos países ao redor do mundo, incluindo o vidro isolante JIS R3209 japonês, padrão europeu EN1279-2 método de teste de longo prazo para permeação de vapor de água de vidro isolante, Padrão europeu EN1279-3 método de teste de longo prazo para permeação de gás de vidro isolante Método de teste de EN1279-4 padrão europeu para características físicas de vedação de borda de vidro isolante, norte-americano ASTM773/774, francês NFP78-451/452, italiano UNI10593, alemão DIN1286 e outros padrões.
O vidro isolante deste sistema de vedação é também o primeiro sistema de vidro isolante de duas cavidades de três vidros a passar no teste de retenção de gás da EN1279.3, com taxas anuais de vazamento de argônio de 0,4% ~ 0,5%.
A fim de estudar e analisar o desempenho do vidro isolante do sistema espaçador termoplástico e verificar suas vantagens em durabilidade, o Centro Nacional de Supervisão e Inspeção de Qualidade de Vidro selecionou o produto Thermoplastic Spacer 4SG produzido pela Kemelin Company, usou adesivo estrutural de silicone Dow Corning como selante externo, E usou a linha de produção ultra full-automática 100 para produzir a amostra de vidro isolante inflável. De acordo com a durabilidade do selo de vapor de água e durabilidade do selo de gás no padrão GB/T11944-2012, cinco ciclos padrão foram testados respectivamente.
(1) Durabilidade do selo de vapor de água
O teste de cada ciclo consiste em ciclo alternado de alta e baixa temperatura e temperatura e umidade constantes. Estágio 1: 56 ciclos, um ciclo de temperatura a cada 12 horas, a temperatura varia de-18 °C ± 2 °C a 53 °C ± 1 °C; Estágio 2: A temperatura ambiente em 58 °C ± 1 °C e umidade relativa superior a 95% é mantida por 7 semanas, e cada ciclo é de 77 dias (Como mostrado na Figura 14).

Figura 14 Ciclo de durabilidade do selo de vapor de água
Neste teste, cinco grupos de amostras são colocados na câmara de teste de envelhecimento. Após cada ciclo, um grupo é retirado para o teste final de teor de umidade e o valor I é calculado. Junção Ver Tabela 4 para resultados.
(2) durabilidade do selo de gás
Primeiro, o conteúdo inicial de argônio do vidro isolante para teste de durabilidade é testado, e os resultados são mostrados na Tabela 5.
Tabela 4 Resultados do teste de durabilidade de 5 ciclos de tira espaçadora termoplástica (4SG)

Tabela 5 Resultados do teste do conteúdo inicial de argônio das amostras
Não amostra | Conteúdo inicial de argônio (% V/V) |
1 # | 93,7% |
2 # | 93% |
Em segundo lugar, de acordo com o método de teste em GB/T11944-2012, a amostra foi testada por cinco ciclos e o conteúdo de argônio foi testado após cada ciclo. Veja a Tabela 6 para os resultados do teste.
Tabela 6 Resultados do teste de conteúdo de argônio das amostras após o envelhecimento
Ciclo | Não amostra | Conteúdo final de argônio (% V/V) |
1 ciclo | 1 # | Noventa e dois pontos oito |
2 # | Noventa e dois pontos dois | |
2 ciclos | 1 # | Noventa e um ponto nove |
2 # | Noventa e um ponto três | |
3 ciclos | 1 # | Noventa e um ponto dois |
2 # | Noventa ponto cinco | |
4 ciclos | 1 # | Noventa ponto quatro |
2 # | Oitenta e nove ponto sete | |
5 ciclos | 1 # | Oitenta e nove ponto seis |
2 # | Oitenta e nove |
A partir dos resultados do teste, tanto o índice de permeabilidade à água quanto o teor de argônio do vidro isolante da tira espaçadora termoplástica (4SG) sistema ainda pode atender aos requisitos do padrão nacional após cinco ciclos de envelhecimento. Os resultados do teste do índice de permeabilidade à água após cinco ciclos são melhores do que os resultados do teste do ciclo padrão atual de estruturas de vedação tradicionais na China. O teor de gás diminuiu apenas cerca de 4%, Indicando que a vida útil do vidro isolante neste sistema será muito mais longa do que a atual estrutura de vedação de vidro isolante na China.
Da análise teórica aos resultados dos testes, é mostrado que a tira espaçadora termoplástica (TPS) é uma nova geração de material de vedação de borda de vidro isolante. Este sistema de vidro isolante pode melhorar a vida de vedação do vidro isolante e melhorar o efeito de borda do vidro isolante, que deve ser vigorosamente promovido. No entanto, atualmente, tanto o material de vedação do espaçador termoplástico quanto o equipamento de produção automático para produzir o vidro isolante com a estrutura de vedação são importados, e o preço é uma das principais razões que restringem a popularização e a aplicação do vidro isolante do espaçador termoplástico (TPS). Atualmente, a China ainda está no estágio de pesquisa e desenvolvimento de equipamentos e pesquisa de materiais, e não realizou a produção industrial. Com o aumento da compreensão das pessoas sobre o desempenho superior do vidro isolante espaçador termoplástico e a melhoria do nível de pesquisa e industrialização doméstica, sua perspectiva de aplicação será cada vez mais extensa.
Referência:
[1] Instituto de pesquisa e design da indústria de vidro Qinhuangdao, vidro isolante (GB/T11944-2012), China Standards Press.
[2] Dr.Chritian Scherer, Ernst Smar etc, Um novo sistema de borda quente com superioreficiência energética e durabilidade, GPD Glass Performance Days 2015 。
[3] Li Jing, sistema inovador de vedação de espaçador para parede de cortina 4SG, discurso da Conferência Anual de Vidro da China de 2017.
[4] Yuan Peifeng, et al., Vantagens de desempenho do vidro isolante de borda quente termoplástico, Proceedings of 2017 China Glass Industry Conferência Anual e Seminário Técnico.